欢迎访问 2025中国西部成都国际工程机械展览会官方网站!  时间:2025年7月10-12日    地点:成都世纪城新国际会展中心    距离展会开幕还有 天    
   13122602208    
展会知识

展会知识

展会知识

关于工程师孟展的信息

文章编号工程师孟展:1009-9603(2021)01-0106-09

DOI工程师孟展:10.13673/j.cnki.cn37-1359/te.2021.01.013

刘 丽,闵令元,孙志刚,裴 磊,顾辉亮

(中国石化胜利油田分公司 勘探开发研究院,山东 东营 257015)

刘 丽等

摘要:微观孔隙结构是控制渗流特征的内在因素,渗流特征是微观孔隙结构的外在表现。借助高压压汞测试技术,获取表征页岩油储层孔喉大小、分布及连通性的微观孔隙结构参数,分析不同尺度孔喉对渗流能力的贡献程度。基于稳定流法,建立页岩油单相渗流曲线,分析岩石渗透率、地层原油黏度对渗流规律的影响。研究结果表明,济阳坳陷页岩油储层孔隙结构具有强非均质性特征,孔喉以亚微米-纳米级为主,纳米级孔喉连通的孔隙体积占比最大,参与渗流的主要为微米级孔喉(层理缝)和亚微米级孔喉。亚微米-纳米级孔喉是页岩油储层产生非线性渗流和启动压力梯度的主要原因,启动压力梯度随着流度的减小而增大,二者之间呈幂函数关系。建立页岩油储层极限泄油半径预测公式,可根据储层渗透率、地层原油黏度预测一定生产压差下页岩油可流动的最远距离,为井距设计或压裂裂缝间距优化提供参数依据。

关键词:页岩油工程师孟展;亚微米-纳米级孔喉;强非均质性;非线性渗流;启动压力梯度;极限泄油半径

中图分类号:TE122.2 文献标识码:A

Pore structure and percolation characteristics in

shale oil reservoir of Jiyang Depression

LIU Li,MIN Lingyuan,SUN Zhigang,PEI Lei,GU Huiliang

(Exploration and Development Research Institute,Shengli Oilfield Company,

SINOPEC,Dongying City,Shandong Province,257015,China)

Abstract:The microscopic pore structure is an internal factor controlling percolation characteristics,and percolation characteristics are the external manifestation of the microscopic pore structure. Through the technique of mercury injection capillary pressure,the microscopic pore structure parameters characterizing pore throat size,distribution,and connectivity were obtained. The contributions of pore throats on different scales to the percolation capacity of the shale oil reservoir were analyzed. The single-phase percolation curve of shale oil was established with the steady flow method to analyze the influence of rock permeability and in-place oil viscosity on the law of percolation in shale oil reservoirs. The results show that the pore structure of the shale oil reservoir in Jiyang Depression characterized by significant heterogeneity is mainly composed of submicron and nanometer pore throats. In terms of volume,most pores are connected by nanometer pore throats,but percolation is transported mainly through micron(bedding fractures)and submicron pore throats. Nonlinear percolation and starting pressure gradient in shale oil reservoir can be attributable mainly to submicron and nanometer pore throats. The relationship between the starting pressure gradient rises as fluidity falls,which can be expressed by a power function.The formula estimating maximum drainage radius of the shale oil reservoir is established to predict the longest flow distance according to rock permeability and in-place oil viscosity under a certain production pressure difference,which provides a parameter basis for well spacing design or fracture spacing optimization.

Key words:shale oil reservoir;submicro-nano pore throat;significant heterogeneity;non-linear percolation;starting pressure gradient;maximum drainage radius

页岩油是指主要以游离态和吸附态赋存于富有机质页岩及其碳酸盐岩、砂岩薄夹层中的液态烃,其储层以暗色页岩为主,夹薄层状粉砂质泥岩、泥质粉砂岩、粉砂岩、砂岩、碳酸盐岩等岩石组合,夹层单层厚度不超过1 m,暗色页岩厚度占地层厚度比例在70%以上。截至2018年底,济阳坳陷共有40口井的页岩发育段达到工业油气流标准,累积产油量超过11×104 t,显示出良好的勘探开发前景。自2008年,针对济阳坳陷页岩油储层设计完钻了4口密闭取心井,并基于岩心资料开展了大量研究[1-15]。目前已在页岩油储层的岩相特征、储集空间表征以及页岩油的赋存状态等方面取得了不菲的研究成果,根据层理结构将济阳坳陷页岩油储层岩石分为块状、纹层状和层状3种类型,认识到页岩油储层具有纳米级孔喉、纹层/层理缝发育等特征[6-19],但目前针对页岩油储层渗流特征的研究有限,尚处于起步阶段[20-25]。储层的渗流特征受孔隙结构、流体性质及动力条件控制,其中孔隙结构是决定渗流特征的重要因素。笔者借助高压压汞测试技术,开展不同层理类型页岩油储层孔隙结构特征研究,深入剖析微米级、亚微米级以及纳米级等不同尺度孔喉对页岩油储层渗流能力的贡献程度;并基于稳定流法,开展不同渗透率、不同黏度页岩油渗流实验,初步认识页岩油储层的非线性渗流规律,明晰页岩油渗流机理,为济阳坳陷页岩油藏有效开发方式的建立提供理论指导。

1 孔隙结构特征

压汞法是表征多孔介质微观孔隙结构的有效手段,WASHBURN最早提出通过测量进汞量和进汞压力确定多孔介质孔隙分布。1949年PURCELL将压汞法引入石油工业,自此压汞法测定储层岩石毛管压力即成为石油勘探开发的常规分析项目之一。由于常温下汞的物理性质比较稳定,因此利用压汞毛管压力数据、基于Young-Laplace方程可以间接获得岩石的孔喉大小及分布、孔隙连通性等表征孔隙结构的特征参数,压汞法在孔隙结构分析方面具有其他方法所无法比拟的独特优势[26]。AUTOPORE9550高压压汞仪的进汞压力高达227 MPa,可测定的最小孔喉半径低至0.003 6 μm,在致密油气储层、页岩油气储层孔隙结构分析中发挥了重要作用。笔者基于济阳坳陷28块页岩油藏岩心的高压压汞测试数据,根据层理类型进行统计分析和归类研究,开展页岩油储层孔隙结构分布特征研究。

1.1 毛管压力曲线特征

毛管压力曲线的形态和位置可以间接反映岩石的微观孔隙结构特征。济阳坳陷页岩油储层具有代表性的岩心毛管压力曲线如图1所示。根据曲线的形态将页岩油储层毛管压力曲线归纳为A,B,C共3类,其分别反映块状岩石、纹层状岩石、层状岩石3种不同层理类型的页岩油储层孔隙结构。块状岩石由于纹层、层理或微裂缝均不发育,泥岩基质孔隙是其主要的流体赋存空间和渗流通道,进汞毛管压力曲线表现为A类的高位平台式,即由于泥岩基质岩性致密、孔喉细小、排驱压力高(平均为4.0 MPa),低压下汞无法进入岩石孔隙,只有进汞压力高于排驱压力后汞才开始大量进入泥岩基质孔隙。纹层状岩石中除泥岩基质孔隙外,灰质或砂质纹层的基质孔隙也是重要的流体赋存空间和渗流通道,相对于泥岩基质孔喉,灰质或砂质纹层孔喉尺寸稍大,排驱压力低(平均为0.44 MPa),低压下汞首先进入灰质或砂质纹层孔隙中,然后随着进汞压力的升高,逐步进入泥岩基质孔隙中,其毛管压力曲线表现为B类的缓慢爬坡式。层状岩石中发育的层理缝则为流体赋存和渗流提供了除泥岩基质孔隙外的附加孔隙空间,即低压下汞首先进入渗流阻力极小的层理缝中,然后进一步提高进汞压力,逐步进入渗流阻力较大的泥岩基质孔隙中,其毛管压力曲线表现为C类的低位平台式。

工程师孟展

图1 济阳坳陷页岩油储层典型毛管压力曲线

Fig.1 Typical capillary pressure curves of shale oil reservoir of Jiyang Depression

1.2 不同尺度孔喉构成

最大孔喉半径和平均孔喉半径是表征岩石孔喉大小的重要参数。由济阳坳陷28块页岩油储层岩心(块状岩石编号为1—7、纹层状岩石编号为8—12、层状岩石编号为13—28)的最大孔喉半径和平均孔喉半径分布(图2)可以看出,块状岩石的最大孔喉半径为0.085 7~0.511 μm,平均为0.282 μm;平均孔喉半径为0.011~0.045 μm,平均为0.023 μm。纹层状岩石的最大孔喉半径为1.269~1.820 μm,平均为1.704 μm;平均孔喉半径为0.044~0.129 μm,平均为0.092 μm。层状岩石的最大孔喉半径为1.299~7.374 μm,平均为2.729 μm;平均孔喉半径为0.057~0.707 μm,平均为0.180 μm。由此可见,块状岩石中不存在微米级孔喉,且块状岩石和纹层状岩石均以纳米级孔喉为主,但纹层状岩石的最大孔喉半径和平均孔喉半径分别是块状岩石的6倍和4倍;层状岩石以亚微米级孔喉为主,其最大孔喉半径和平均孔喉半径分别是纹层状岩石的1.6倍和2倍。岩石的渗流阻力与孔喉半径成负相关,孔喉半径越大,渗流阻力越小,渗流能力越好。因此,就渗流能力而言,层状岩石最好,纹层状岩石次之,块状岩石最差。孔隙结构均质系数为平均孔喉半径与最大孔喉半径的比值,是表征孔喉大小、分布均匀程度的主要参数;孔隙结构均质系数越接近于1,孔喉大小越均匀;孔隙结构均质系数越小,表明孔喉大小、分布越不均匀,孔隙结构非均质性越强。块状、纹层状和层状岩石的孔隙结构均质系数的平均值分别为0.082,0.054和0.066,反映出页岩油储层孔隙结构的强非均质性特征。

工程师孟展

图2 济阳坳陷页岩油储层孔喉半径分布

Fig.2 Pore throat radius distribution of shale oil reservoir of Jiyang Depression

1.3 不同尺度孔喉控制的孔隙体积占比

不同尺度孔喉控制的孔隙体积占比是表征孔隙连通性的重要参数,某一尺度孔喉控制的孔隙体积占比越大,表明与该尺度孔喉相连通的孔隙体积越大。由济阳坳陷页岩油储层岩心不同尺度孔喉控制的孔隙体积占比(图3)可以看出,块状岩石中亚微米级孔喉控制的孔隙体积占比为3.0%~22.0%,平均为10.5%;纳米级孔喉控制的孔隙体积占比为78.0%~97.0%,平均为89.4%,其中半径小于5 nm孔喉控制的孔隙体积占比平均高达26.8%。纹层状岩石中微米级孔喉控制的孔隙体积占比为2.1%~9.6%,平均为6.0%;亚微米级孔喉控制的孔隙体积占比为13.8%~24.2%,平均为16.5%;纳米级孔喉控制的孔隙体积占比为68.4%~84.0%,平均为77.5%,其中半径小于5 nm孔喉控制的孔隙体积占比平均为24.1%。层状岩石中微米级孔喉控制的孔隙体积占比为2.8%~15.0%,平均为8.6%;亚微米级孔喉控制的孔隙体积占比为11.4%~30.5%,平均为17.3%;纳米级孔喉控制的孔隙体积占比为57.1%~80.8%,平均为74.1%,其中半径小于5 nm孔喉控制的孔隙体积占比平均为20.7%。对于页岩油储层岩石而言,其孔隙体积主要由纳米级孔喉控制,从块状岩石、纹层状岩石到层状岩石,纳米级孔喉控制的孔隙体积占比逐渐下降,亚微米级孔喉和微米级孔喉控制的孔隙体积占比逐渐增加,表明岩石的渗流能力越来越好。

1.4 不同尺度孔喉对渗透率的贡献率

不同尺度孔喉对渗透率的贡献率是表征岩石渗流能力的重要参数,对渗透率起主要贡献作用的孔喉尺度越大,岩石的渗流能力越好。由济阳坳陷页岩油储层岩心不同尺度孔喉对渗透率的贡献率(图4)可以看出,块状岩石中亚微米级孔喉对渗透率的贡献率为47.0%~98.0%,平均为76.8%;纳米级孔喉对渗透率的贡献率为2.0%~53.0%,平均为23.2%。纹层状岩石中微米级孔喉对渗透率的贡献率为79.0%~93.0%,平均为87.9%;亚微米级孔喉对渗透率的贡献率为6.9%~20.0%,平均为11.7%;纳米级孔喉对渗透率的贡献率为0.12%~1.0%,平均为0.33%。层状岩石中微米级孔喉对渗透率的贡献率为87.0%~98.3%,平均为93.3%;亚微米级孔喉对渗透率的贡献率为2.6%~12.8%,平均为5.9%;纳米级孔喉对渗透率的贡献率为0%~0.3%,平均为0.2%。块状岩石的渗透率主要由亚微米级孔喉贡献,纳米级孔喉次之,亚微米级和纳米级孔喉的渗流阻力大于微米级孔喉;纹层状、层状岩石的渗透率主要由微米级孔喉贡献,亚微米级孔喉次之,纳米级孔喉的贡献微乎其微,且层状岩石中微米级孔喉的贡献率略大于纹层状岩石,因此层状岩石的渗流能力最好,纹层状岩石次之,块状岩石最差。

工程师孟展

图3 济阳坳陷页岩油储层不同尺度孔喉控制的孔隙体积占比

Fig.3 Pore volume ratio controlled by pore throat on different scales

in shale oil reservoir of Jiyang Depression

工程师孟展

图4 济阳坳陷页岩油储层不同尺度孔喉对渗透率的贡献率

Fig.4 Contribution rates of pore throat on different scales to permeability

of shale oil reservoir of Jiyang Depression

页岩油储层孔隙空间主要由纳米级孔喉控制,但对渗流起主要贡献作用的为微米级和亚微米级孔喉。纳米级孔喉与微米级和亚微米级孔喉的渗流阻力存在着数量级上的差别。就纳米级孔喉而言,泥岩基质的渗流能力很差;但灰质或砂质纹层以及层理缝、微裂缝的存在,可为流体渗流提供微米级和亚微米级渗流通道,有效改善页岩油储层的渗流能力。

2 渗流特征

由于孔喉细小、比表面积大以及原油边界层效应的存在,低渗透砂岩储层呈现非线性渗流特征且渗流存在启动压力梯度已成为广大油气勘探开发工作者的共识[27-31]。相对于致密砂岩储层,页岩油储层的微-纳米级孔喉更加细小,比表面积更大,原油边界层效应可能更显著,因此有必要开展页岩油储层渗流规律研究,认识其非线性渗流特征和启动压力梯度。笔者借助Quizix Q5000高精度恒流柱塞泵,基于稳定流法,开展页岩油储层岩石单相渗流规律实验。稳定流法的基本原理在于利用储层岩石和与地层原油黏度相当的模拟油模拟储层渗流条件,获取不同渗流速度下岩石驱替压力梯度,以渗流速度为横轴、驱替压力梯度为纵轴,在直角坐标系中绘制二者关系曲线,曲线在纵轴上的截距,即岩石渗流所需最小驱替压力梯度为启动压力梯度。

2.1 实验方案设计

2.1.1 实验岩心和流体

从济阳坳陷页岩油取心井的全直径岩心上,沿水平方向钻取直径为2.5 cm、长度为2.5 cm的柱塞岩心。对其除油、除盐、烘干后测定长度、直径、覆压孔隙度、覆压渗透率等基础参数,选择渗透率级别不同的10块岩心作为实验岩心。

根据济阳坳陷页岩油藏地层原油黏度,配制3种不同黏度模拟油作为实验用油。实验温度下3种模拟油的黏度分别为1.306,3.624和10.13 mPa∙s。

2.1.2 实验条件

实验温度为20 ℃,恒温驱替以消除温度变化对模拟油黏度的影响。实验过程中保持净围压为15 MPa,以消除净围压变化对岩心孔隙结构和渗透率的影响。设定驱替速度为0.000 1~0.5 cm3/min,每块岩心至少设定5种不同的驱替速度,以获得不同渗流速度下渗流所需的驱替压力梯度。

2.1.3 实验步骤

页岩油单相渗流实验步骤包括:①称干燥岩心质量,将干燥岩心置于-0.1 MPa的真空度下,对岩心抽真空,并用黏度为1.306 mPa·s的模拟油饱和岩心。②称完全饱和模拟油的湿岩心质量,根据干、湿岩心的质量差计算孔隙体积。③设定驱替泵的速度为最低驱替速度,向岩心中注入黏度为1.306 mPa∙s的模拟油,待驱替压力稳定在某一数值即渗流达稳定状态后,记录该驱替速度下对应的驱替压力;逐步增加驱替泵的速度至最高驱替速度,分别记录每个驱替速度下渗流达稳定状态时的驱替压力。④用黏度为3.624 mPa∙s的模拟油驱替岩心,至少注入3 PV,待驱替压力稳定不变后,将之前岩心中饱和的黏度为1.306 mPa∙s的模拟油完全置换。⑤向岩心中注入黏度为3.624 mPa∙s的模拟油,并重复步骤③。⑥用黏度为10.13 mPa∙s的模拟油驱替岩心,至少注入3 PV,待驱替压力稳定不变后,将之前岩心中饱和的黏度为3.624 mPa∙s的模拟油完全置换。⑦向岩心中注入黏度为10.13 mPa∙s的模拟油,并重复步骤③。⑧在同一直角坐标系中分别绘制每块岩心在3种黏度条件下的渗流速度与驱替压力梯度关系曲线。

2.2 实验结果分析

2.2.1 非线性渗流特征

由3块不同渗透率级别岩心分别在3种不同模拟油黏度条件下的单相渗流曲线(图5)可见,驱替压力梯度与渗流速度关系曲线在直角坐标系中为一上凸型曲线,即曲线的斜率随着渗流速度的增大而减小,表明岩石的渗透率随着渗流速度的增大而增大,页岩油呈现非线性渗流特征。非线性渗流特征是页岩油储层孔隙结构非均质性的重要表现,即低速下只有尺度较大的孔喉或层理缝参与渗流,随着渗流速度的增加,参与渗流的小尺度孔喉越来越多,岩石的渗透率不断增加。流体黏度相同的条件下,岩心的渗透率越低,曲线凸度越大,表明页岩油储层渗透率越低,非线性渗流特征越显著。对于同一块岩心,流体的黏度越高,曲线的位置越靠上,曲线凸度越大,表明页岩油储层流体的黏度越高,非线性渗流特征越显著。

工程师孟展

工程师孟展

工程师孟展

图5 济阳坳陷页岩油储层单相渗流曲线

Fig.5 Single-phase percolation curves of shale oil reservoir of Jiyang Depression

2.2.2 启动压力梯度

采用一元二次多项式拟合渗流速度和驱替压力梯度,则多项式的常数项就等于渗流速度为0时对应的驱替压力梯度,即渗流所需的启动压力梯度。由图5可见,拟合公式中的常数项不为0,即曲线在纵轴上的截距不为0,驱替压力梯度与渗流关系曲线不通过坐标原点,表明页岩油渗流存在启动压力梯度。启动压力梯度是页岩油储层微-纳米孔喉尺度的重要表现,亚微米-纳米孔喉带来的高比表面积效应使得页岩油易被吸附于孔隙表面形成边界层,边界层的高渗流阻力是产生启动压力梯度的主要原因。在流体黏度相同的条件下,岩心的渗透率越低,多项式的常数项越大,即曲线在纵轴上的截距越大,表明渗流启动压力梯度越大。对于同一块岩心,流体的黏度越高,多项式的常数项越大,即曲线在纵轴上的截距越大,表明启动压力梯度越大。

济阳坳陷10块不同渗透率级别岩心分别在3种模拟油黏度下的启动压力梯度统计结果(表1)表明,启动压力梯度既是渗透率的函数,也受流体黏度影响。岩石渗透率和地层流体黏度是油藏的固有属性,可以用流度来表征,即流度为岩石的渗透率与地层流体黏度之比,其综合反映了岩石物性与地层流体黏度对储层渗流能力的影响,且流度越大,储层的渗流能力越好。

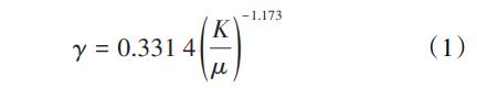
页岩油储层的启动压力梯度与流度的关系可用幂函数来表征:

工程师孟展

在双对数坐标系中,页岩油储层的启动压力梯度与流度的关系曲线表现为直线(图6),且启动压力梯度与流度成负相关,储层流度越小,启动压力梯度越大。

2.2.3 极限泄油半径

地层原油在储层中可流动的最大距离,称为极限泄油半径。已知生产压差和启动压力梯度,可计算极限泄油半径[32],其计算式为:

工程师孟展

表1 济阳坳陷页岩油储层启动压力梯度统计结果

Table1 Statistical results of starting pressure gradient for

shale oil reservoir core of Jiyang Depression MPa/m

工程师孟展

工程师孟展

图6 济阳坳陷页岩油储层启动压力梯度与流度关系

Fig.6 Relationship between starting pressure gradient and

fluidity of shale oil reservoir of Jiyang Depression

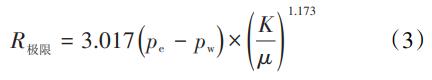
将(1)式代入(2)式可获得页岩油储层极限泄油半径与流度和生产压差的关系式为:

工程师孟展

已知页岩油储层的渗透率和地层原油黏度,根据(3)式可预测一定生产压差下的极限泄油半径,进而指导井距或裂缝间距的确定。例如,页岩油储层的渗透率为0.5 mD,地层原油黏度为0.5 mPa·s,生产压差为20 MPa,极限泄油半径为60.35 m,即页岩油最远可流动距离为60.35 m。

3 结论

页岩油储层孔隙结构具有强非均质性特征,以亚微米级和纳米级孔喉为主,其孔隙体积主要由纳米级孔喉控制,但对渗流起主要贡献作用的是微米级孔喉(层理缝)和亚微米级孔喉。孔隙结构和渗流能力受层理类型影响,就渗流能力而言,层状岩石最好,纹层状岩石居中,块状岩石最差。页岩油储层呈非线性渗流特征,且渗流存在启动压力梯度,亚微米-纳米级孔喉是产生非线性渗流和启动压力梯度的主要原因;启动压力梯度与流度之间满足幂函数关系,且启动压力梯度随着流度的减小而增大。根据页岩油储层的渗透率、地层原油黏度可预测一定生产压差下页岩油可流动的最远距离,为井距设计或压裂裂缝间距优化提供参数依据。

符号解释

——渗透率,mD;

——岩心长度,cm;

——地层压力,MPa;

——井底流压,MPa;

——驱替压差,MPa;

——极限泄油半径,m;

——渗流速度,cm3/min;

——启动压力梯度,MPa/m;

——地层原油黏度,mPa·s;

——流度,mD/(mPa·s)。

参考文献

[1] 孙焕泉,蔡勋育,周德华,等.中国石化页岩油勘探实践与展望[J].中国石油勘探,2019,24(5):569-575.

SUN Huanquan,CAI Xunyu,ZHOU Dehua,et al.Practice and prospect of Sinopec shale oil exploration[J].China Petroleum Exploration,2019,24(5):569-575.

[2] 宋明水.济阳坳陷页岩油勘探实践与现状[J].油气地质与采收率,2019,26(1):1-12.

SONG Mingshui.Practice and current status of shale oil exploration in Jiyang Depression[J].Petroleum Geology and Recovery Efficiency,2019,26(1):1-12.

[3] 王雨菡,丁伟铭,刘璇,等.渤海湾盆地渤南洼陷沙河街组三段下亚段岩相特征及有机质富集成因[J].石油与天然气地质,2019,40(5):1 106-1 114.

WANG Yuhan,DING Weiming,LIU Xuan,et al.Lithofacies and causal mechanism of organic matter enrichment in the lower submember of the 3rd member of Shahejie Formation,Bonan Sag,Bohai Bay Basin[J].Oil & Gas Geology,2019,40(5):1 106-1 114.

[4] 刘惠民,张顺,包友书,等.东营凹陷页岩油储集地质特征与有效性[J].石油与天然气地质,2019,40(3):512-523.

LIU Huimin,ZHANG Shun,BAO Youshu,et al.Geological characteristics and effectiveness of the shale oil reservoir in Dongying sag[J].Oil & Gas Geology,2019,40(3):512-523.

[5] 包友书.渤海湾盆地东营凹陷古近系页岩油主要赋存空间探索[J].石油实验地质,2018,40(4):479-484.

BAO Youshu.Effective reservoir spaces of Paleogene shale oil in the Dongying Depression,Bohai Bay Basin[J].Petroleum Geology & Experiment,2018,40(4):479-484.

[6] 刘雅利,刘鹏.陆相富有机质泥页岩中夹层特征及其作用——以济阳坳陷为例[J].油气地质与采收率,2019,26(5):1-9.

LIU Yali,LIU Peng.Interlayer characteristics and their effect on continental facies organic-rich shale:A case study of Jiyang Depression[J].Petroleum Geology and Recovery Efficiency,2019,26(5):1-9.

[7] 方正伟,张守鹏,刘惠民,等.济阳坳陷沙四段上亚段—沙三段下亚段泥页岩层理结构特征及储集性控制因素[J].油气地质与采收率,2019,26(1):101-108.

FANG Zhengwei,ZHANG Shoupeng,LIU Huimin,et al.Bedding structure characteristics and the storage controlling factors of mud-shale in Upper Es4 to Lower Es3 Members in Jiyang Depression[J].Petroleum Geology and Recovery Efficiency,2019,26(1):101-108.

[8] 付永红,蒋裕强,陈虎,等.页岩柱塞样与碎样孔隙度差异性分析与启示[J].石油实验地质,2020,42(2):302-310.

FU Yonghong,JIANG Yuqiang,CHEN Hu,et al.Analysis and enlightenment of porosity differences between shale plug samples and crushed samples[J].Petroleum Geology & Experiment,2020,42(2):302-310.

[9] 蒋启贵,黎茂稳,钱门辉,等.不同赋存状态页岩油定量表征技术与应用研究[J].石油实验地质,2016,38(6):842-849.

JIANG Qigui,LI Maowen,QIAN Menhui,et al.Quantitative characterization of shale oil in different occurrence states and its application[J].Petroleum Geology & Experiment,2016,38(6):842-849.

[10] 胡钦红,张宇翔,孟祥豪,等.渤海湾盆地东营凹陷古近系沙河街组页岩油储集层微米—纳米级孔隙体系表征[J].石油勘探与开发,2017,44(5):681-690.

HU Qinhong,ZHANG Yuxiang,MENG Xianghao,et al.Characterization of micro-nano pore networks in shale oil reservoirs of Paleogene Shahejie Formation in Dongying Sag of Bohai Bay Basin,East China[J].Petroleum Exploration and Development,2017,44(5):681-690.

[11] 李廷微,姜振学,许辰璐,等.沾化凹陷沙三下亚段陆相页岩储层微—纳米孔隙结构特征[J].石油科学通报,2017,2(4):445-456.

LI Tingwei,JIANG Zhenxue,XU Chenlu,et al.Shale micro-nano pore structure characteristics in the lower third member of the continental Shahejie Formation,Zhanhua Sag[J].Petroleum Science Bulletin,2017,2(4):445-456.

[12] 王民,关莹,李传明,等.济阳坳陷沙河街组湖相页岩储层孔隙定性描述及全孔径定量评价[J].石油与天然气地质,2018,39(6):1 107-1 119.

WANG Min,GUAN Ying,LI Chuanming,et al.Qualitative description and full-pore-size quantitative evaluation of pores in lacustrine shale reservoir of Shahejie Formation,Jiyang Depression[J].Oil & Gas Geology,2018,39(6):1 107-1 119.

[13] 马海洋,夏遵义,温庆志,等.渤海湾盆地沾化凹陷页岩微观孔隙特征实验研究[J].石油实验地质,2019,41(1):149-156.

MA Haiyang,XIA Zunyi,WEN Qingzhi,et al.Micro-pore characteristics of shale in Zhanhua Sag,Bohai Bay Basin[J].Petroleum Geology & Experiment,2019,41(1):149-156.

[14] 刘伟新,卢龙飞,魏志红,等.川东南地区不同埋深五峰组-龙马溪组页岩储层微观结构特征与对比[J].石油实验地质,2020,42(3):378-386.

LIU Weixin,LU Longfei,WEI Zhihong,et al.Microstructure characteristics of Wufeng-Longmaxi shale gas reservoirs with different depth, southeastern Sichuan Basin[J].Petroleum Geology & Experiment,2020,42(3):378-386.

[15] 张文涛,胡文瑄,鲍芳,等.基于流体吸入实验的页岩纳米孔隙连通性分析方法[J].石油实验地质,2020,42(3):415-421.

ZHANG Wentao,HU Wenxuan,BAO Fang,et al.A method for analyzing nanopore connectivity of shale using a fluid suction experiment [J].Petroleum Geology & Experiment,2020,42(3):415-421.

[16] 刘一杉,东晓虎,闫林,等.吉木萨尔凹陷芦草沟组孔隙结构定量表征[J].新疆石油地质,2019,40(6):284-289.

LIU Yishan,DONG Xiaohu,YAN Lin,et al.Quantitative characterization of pore structure of Lucaogou formation in Jimsar sag[J].Xinjiang Petroleum Geology,2019,40(6):284-289.

[17] 孙超,姚素平.页岩油储层孔隙发育特征及表征方法[J].油气地质与采收率,2019,26(1):153-164.

SUN Chao,YAO Suping.Pore structure and characterization methods of shale oil reservoir[J].Petroleum Geology and Recovery Efficiency,2019,26(1):153-164.

[18] 高阳,叶义平,何吉祥,等.准噶尔盆地吉木萨尔凹陷陆相页岩油开发实践[J].中国石油勘探,2020,25(2):133-141.

GAO Yang,YE Yiping,HE Jixiang,et al.Development practice of continental shale oil in Jimsar sag in the Junggar Basin[J].China Petroleum Exploration,2020,25(2):133-141.

[19] 田伟,刘慧卿,何顺利,等.吉木萨尔凹陷芦草沟组致密油储层岩石微观孔隙结构表征[J].油气地质与采收率,2019,26(4):24-32.

TIAN Wei,LIU Huiqing,HE Shunli,et al.Characterization of microscopic pore structure of tight oil reservoirs in Lucaogou Formation,Jimusaer Sag[J].Petroleum Geology and Recovery Efficiency,2019,26(4):24-32.

[20] 董明哲,李亚军,桑茜,等.页岩油流动的储层条件和机理[J].石油与天然气地质,2019,40(3):636-644.

DONG Mingzhe,LI Yajun,SANG Qian,et al.Reservoir conditions and mechanism of shale oil flow[J].Oil & Gas Geology,2019,40(3):636-644.

[21] 雷浩,何建华,胡振国.潜江凹陷页岩油藏渗流特征物理模拟及影响因素分析[J].特种油气藏,2019,26(3):94-98.

LEI Hao,HE Jianhua,HU Zhenguo.Physical simulation and influencing factor analysis of the flow characteristics in the shale oil reservoir of Qianjiang depression[J].Special Oil & Gas Reservoirs,2019,26(3):94-98.

[22] 李佳琦,陈蓓蓓,孔明炜,等.页岩油储集层数字岩心重构及微尺度下渗流特征——以吉木萨尔凹陷二叠系芦草沟组页岩油为例[J].新疆石油地质,2019,40(3):319-327.

LI Jiaqi,CHEN Beibei,KONG Mingwei,et al.Digital core reconstruction and research on microscale flow characteristics of shale oil reservoir:A case of the shale oil in Permian Lucaogou Formation,Jimsar Sag[J].Xinjiang Petroleum Geology,2019,40(3):319-327.

[23] 曲冠政,周德胜,彭娇,等.基于Lattice Boltzmann方法的页岩张性裂缝渗流特征研究[J].特种油气藏,2018,25(1):134-139.

QU Guanzheng,ZHOU Desheng,PENG Jiao,et al.Seepage characteristics of tension fractures in shale based on Lattice Boltzmann method[J].Special Oil & Gas Reservoirs,2018,25(1):134-139.

[24] 朱维耀,马东旭.层理缝对页岩渗透率的影响及表征[J].特种油气藏,2018,25(2):130-133.

ZHU Weiyao,MA Dongxu.Effect of bedding seam on shale permeability and its characterization[J].Special Oil & Gas Reservoirs,2018,25(2):130-133.

[25] 李江涛,汪志明,魏建光,等.基于格子玻尔兹曼和有限差分方法的页岩气升尺度渗流模拟[J].大庆石油地质与开发,2019,38(3):144-151.

LI Jiangtao,WANG Zhiming,WEI Jianguang,et al.Percolating simulation of the shale gas upscaling based on lattice Boltzmann and finite difference methods[J].Petroleum Geology & Oilfield Development in Daqing,2019,38(3):144-151.

[26] NEWSHAM K E,RUSHING J A,LASSWELL P M,et al.A comparative study of laboratory techniques for measuring capillary pressures in tight gas sands[R].SPE 89866-M,2004.

[27] 黄延章,等.低渗透油层渗流机理[M].北京:石油工业出版社,1998:30-48.

HUANG Yanzhang,et al.Percolation mechanism of low permeability reservoir[M].Beijing:Petroleum Industry Press,1998:30-48.

[28] 王恩志,韩小妹,黄远智.低渗岩石非线性渗流机理讨论[J].岩土力学,2003,24(增刊):120-124,132.

WANG Enzhi,HAN Xiaomei,HUANG Yuanzhi.Discussion on the mechanism of percolation in low permeability rocks[J].Rock and Soil Mechanics,2003,24(Supplement):120-124,132.

[29] 张雪龄,邝颂雅,师渝滔,等.致密油纳微米孔隙介质非线性渗流特性研究进展[J].中国海上油气,2019,31(4):102-112.

ZHANG Xueling,KUANG Songya,SHI Yutao,et al.Research progress on the nonlinear seepage characteristics of tight oil in nano-micron porous media[J].China Offshore Oil and Gas,2019,31(4):102-112.

[30] 徐永强,何永宏,卜广平,等.基于微观孔喉结构及渗流特征建立致密储层分类评价标准——以鄂尔多斯盆地陇东地区长7储层为例[J].石油实验地质,2019,41(3):451-460.

XU Yongqiang,HE Yonghong,BU Guangping,et al.Establishment of classification and evaluation criteria for tight reservoirs based on characteristics of microscopic pore throat structure and percolation:a case study of Chang7 reservoir in Longdong area,Ordos Basin[J].Petroleum Geology & Experiment,2019,41(3):451-460.

[31] 马铨峥,杨胜来,孟展,等.致密油储层边界层影响因素及渗透率下限实验[J].大庆石油地质与开发,2018,37(1):159-164.

MA Quanzheng,YANG Shenglai,MENG Zhan,et al.Experiments on the influencing factors of the boundary layer and permeability limit for the tight oil reservoir[J].Petroleum Geology & Oilfield Development in Daqing,2018,37(1):159-164.

[32] 时佃海.低渗透砂岩油藏平面径向渗流流态分布[J].石油勘探与开发,2006,33(4):491-494.

SHI Dianhai.Flow state distribution of areal radial flow in low permeability sandstone reservoir[J].Petroleum Exploration and Development,2006,33(4):491-494.

编辑  邹潋滟

—————————————

收稿日期:2020-08-11。

作者简介:刘丽(1972—),女,河南焦作人,高级工程师,硕士,从事油气藏渗流机理方面的研究工作。E-mail:liuli-1972@163.com。

基金项目:中国石化页岩油气勘探开发重点实验室课题“济阳坳陷页岩油赋存特征及可动机理研究”(KL20041)。

版权所有 © 上海企升展览有限公司    沪ICP备2021023001号-6